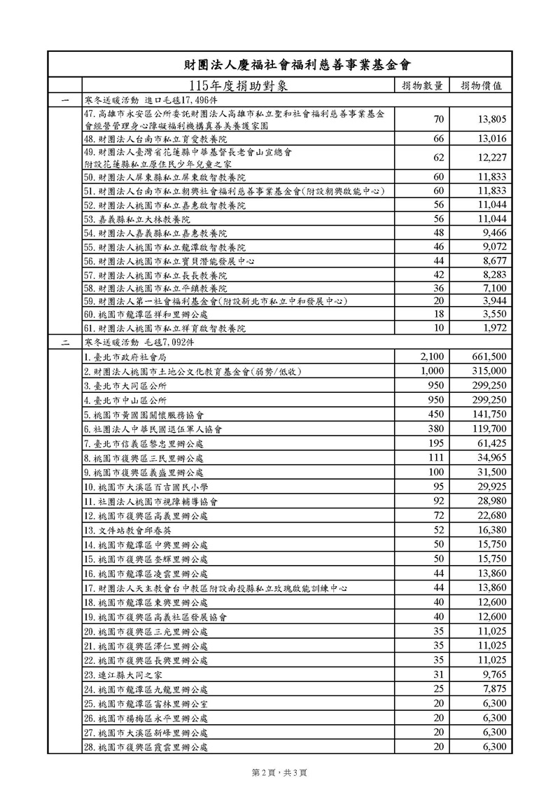
財團法人慶福社會福利慈善事業基金會

Fortune Social Welfare & Charity Foundation
  • 首頁
  • 基金會介紹
  • 服務項目
  • 執行成果
  • 活動剪影
  • 會務消息

會務消息

  • 芳名錄
  • 捐助對象
  • 115年度關懷孤寡、扶助弱勢、偏鄉傳愛
  • 114年度關懷孤寡、扶助弱勢、偏鄉傳愛
  • 113年度關懷孤寡、扶助弱勢、偏鄉傳愛
  • 112年度關懷孤寡、扶助弱勢、偏鄉傳愛
  • 111年度關懷孤寡、扶助弱勢、偏鄉傳愛
  • 110年度關懷孤寡、扶助弱勢、偏鄉傳愛
  • 109年度關懷孤寡、扶助弱勢、偏鄉傳愛
  • 108年度關懷孤寡、扶助弱勢、偏鄉傳愛
  • 107年度關懷孤寡、扶助弱勢、偏鄉傳愛
  • 106年關懷孤寡、扶助弱勢、偏鄉傳愛
  • 105年度關懷孤寡、扶助弱勢、傳遞幸福
  • 財務報告
  • 年度預算

115年度關懷孤寡、扶助弱勢、偏鄉傳愛